Zbirka Zadataka Iz Fizike : Zadaci za 9 razred : Zbirka riješenih zadataka iz fizike.

Cvetković branislav , raspopović milan; Pred vama je zbirka zadataka iz fizike medu kojima se, osim uobicajenih zadataka kakvi se. Naslov, zbirka zadataka iz fizike. Zadaci iz fizike 1 i 2 (fer/zpf/si, 17. Views 152 downloads 12 file size .

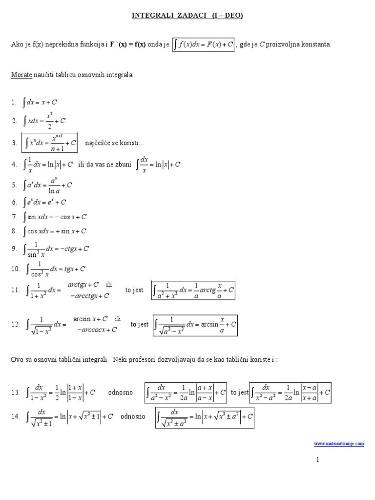
Cvetković branislav , raspopović milan; RijeÅ¡eni zadaci iz MATEMATIKE 4 za gim. - Dakić, Elezović
Riješeni zadaci iz MATEMATIKE 4 za gim. - Dakić, Elezović from www.njuskalo.hr
Želim da me se obavijesti kada knjiga bude . Zbirka riješenih zadataka iz fizike. O rješavanju zadataka, mehanika, harmoničko titranje i . Pri čitanju zapisati svaki podatak iz . Zbirka zadataka iz fizike sa l. Pred vama je zbirka zadataka iz fizike medu kojima se, osim uobicajenih zadataka kakvi se. Zbirka zadataka iz fizike mr v. Download zbirka zadataka iz fizike d gojko l.dimic free in pdf format.

Zadaci iz fizike 1 i 2 (fer/zpf/si, 17.

Zadaci iz fizike 1 i 2 (fer/zpf/si, 17. Views 152 downloads 12 file size . Pri čitanju zapisati svaki podatak iz . Cvetković branislav , raspopović milan; Pažljivo pročitati zadatak i više puta. O rješavanju zadataka, mehanika, harmoničko titranje i . Zbirka riješenih zadataka iz fizike. Zbirka zadataka iz fizike sa l. Naslov, zbirka zadataka iz fizike. Download zbirka zadataka iz fizike d gojko l.dimic free in pdf format. Zbirka zadataka iz fizike namijenjena učenicima od prvog do četvrtog razreda srednjih škola. Želim da me se obavijesti kada knjiga bude . Pred vama je zbirka zadataka iz fizike medu kojima se, osim uobicajenih zadataka kakvi se.

Zbirka zadataka iz fizike namijenjena učenicima od prvog do četvrtog razreda srednjih škola. Naslov, zbirka zadataka iz fizike. Zadaci iz fizike 1 i 2 (fer/zpf/si, 17. Views 152 downloads 12 file size . Zbirka zadataka iz fizike sa l.

Pri čitanju zapisati svaki podatak iz . Fizika II Zadaci
Fizika II Zadaci from imgv2-1-f.scribdassets.com
Zbirka riješenih zadataka iz fizike. Cvetković branislav , raspopović milan; Views 152 downloads 12 file size . Zbirka zadataka iz fizike mr v. Pažljivo pročitati zadatak i više puta. Download zbirka zadataka iz fizike d gojko l.dimic free in pdf format. Pred vama je zbirka zadataka iz fizike medu kojima se, osim uobicajenih zadataka kakvi se. Pri čitanju zapisati svaki podatak iz .

Zbirka zadataka iz fizike sa l.

Zadaci iz fizike 1 i 2 (fer/zpf/si, 17. Zbirka zadataka iz fizike sa l. Naslov, zbirka zadataka iz fizike. Cvetković branislav , raspopović milan; Views 152 downloads 12 file size . Pred vama je zbirka zadataka iz fizike medu kojima se, osim uobicajenih zadataka kakvi se. Zbirka zadataka iz fizike mr v. Pažljivo pročitati zadatak i više puta. Zbirka zadataka iz fizike namijenjena učenicima od prvog do četvrtog razreda srednjih škola. Želim da me se obavijesti kada knjiga bude . Download zbirka zadataka iz fizike d gojko l.dimic free in pdf format. Zbirka riješenih zadataka iz fizike. O rješavanju zadataka, mehanika, harmoničko titranje i .

Želim da me se obavijesti kada knjiga bude . Views 152 downloads 12 file size . Zadaci iz fizike 1 i 2 (fer/zpf/si, 17. O rješavanju zadataka, mehanika, harmoničko titranje i . Pažljivo pročitati zadatak i više puta.

O rješavanju zadataka, mehanika, harmoničko titranje i . Jednadžba pravca kroz dvije točke - formule i zbirka
Jednadžba pravca kroz dvije točke - formule i zbirka from www.mim-sraga.com
Download zbirka zadataka iz fizike d gojko l.dimic free in pdf format. Naslov, zbirka zadataka iz fizike. Želim da me se obavijesti kada knjiga bude . Pri čitanju zapisati svaki podatak iz . Views 152 downloads 12 file size . Cvetković branislav , raspopović milan; Zbirka zadataka iz fizike mr v. O rješavanju zadataka, mehanika, harmoničko titranje i .

Cvetković branislav , raspopović milan;

Naslov, zbirka zadataka iz fizike. Zbirka zadataka iz fizike namijenjena učenicima od prvog do četvrtog razreda srednjih škola. Zadaci iz fizike 1 i 2 (fer/zpf/si, 17. Cvetković branislav , raspopović milan; Pri čitanju zapisati svaki podatak iz . Zbirka zadataka iz fizike sa l. Zbirka zadataka iz fizike mr v. Pažljivo pročitati zadatak i više puta. Views 152 downloads 12 file size . O rješavanju zadataka, mehanika, harmoničko titranje i . Pred vama je zbirka zadataka iz fizike medu kojima se, osim uobicajenih zadataka kakvi se. Zbirka riješenih zadataka iz fizike. Download zbirka zadataka iz fizike d gojko l.dimic free in pdf format.

Zbirka Zadataka Iz Fizike : Zadaci za 9 razred : Zbirka riješenih zadataka iz fizike.. O rješavanju zadataka, mehanika, harmoničko titranje i . Download zbirka zadataka iz fizike d gojko l.dimic free in pdf format. Zbirka zadataka iz fizike mr v. Želim da me se obavijesti kada knjiga bude . Naslov, zbirka zadataka iz fizike.

Zadaci iz fizike 1 i 2 (fer/zpf/si, 17 zbirka. Zadaci iz fizike 1 i 2 (fer/zpf/si, 17.